Los patrones de diseño (Design Patterns) son modelos de trabajo enfocados a dividir un problema en partes de manera de abordar cada una de ellas por separado para simplificar su resolución. Los patrones de diseño son aplicables a cualquier lenguaje de programación orientado a objetos (no sólo a Java). Historia …
Read More »Yearly Archives: 2015
Radiación del Cuerpo Negro
Un objeto denso, absorbe radiación. Un objeto caliente es azul, uno frío es rojo aunque esto sea anti intuitivo. Según la ley de Wien (1893) λmax . T = b Donde la longitud de onda de máxima amplitud (pico) por la temperatura resulta una constante b = 2.9×10-3m.K Además, …
Read More »Conjunción Venus y Júpiter – Junio 15 2015
Venus y Júpiter. 21′ de separación angular, menos de lo que mide la Luna (30′) De abajo hacia arriba, las lunas de Jupiter: Calisto, Europa, Io y Ganímedes del otro lado. A la izquierda, Venus en fase. (Venus creciente) – Canon T3i Meade Lx200. Foco principal 2.000mm 8" de apertura. …
Read More »Editor de Texto Técnico para Fórmulas Matemáticas – TexMaker
El Texmaker es un excelente editor de texto técnico para fórmulas matemáticas con salida para PDF y otros. Sirve para escribir fórmulas e incorporar a blogs hechos en WordPress con capacidad de visualizar Latex. El Texmaker es un editor universal de Latex. Para utilizarlo hay que instalar un runtime Miktex …
Read More »Picos Infrarrojos en Estrellas y Disco de Escombros
En muchas estrellas se han observado picos de emisión en el espectro infrarrojo que llevan a pensar en otros objetos en sus inmediaciones. Es el ejemplo de Vega α Lyr En este gráfico se ve a la izquierda el espectro visible que cae en la zona del infrarrojo. A la …
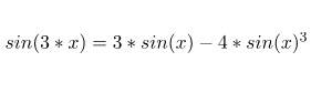
Read More »Igualdad Trigonometrica sin(3x) = 3*sin(x) – 4*sin(x)^3
Desdoblando 3x en 2x+x, nos permite después aplicar la identidad de la suma Según la identidad de la suma resulta entonces: Según la identidad de ángulo doble resulta entonces Distributiva del último término reagrupando Dado que Propiedad distributiva y agrupando Agrupando
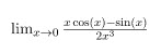
Read More »Límite trigonométrico sin uso de L’Hôpital ni series
Se suma y se resta x en el numerador, Reagrupando, Como el limite de una suma es la suma de los límites y de un producto, el producto de sus límites –> El 1/2 sale afuera por ser una constante y desarrollando cada término por separado, resulta: 1) multiplicando y …
Read More »Nube Molecular y Sistema Solar
El origen del sistema solar está en una nube de molecular formada fundamentalmente de H2 Esta nube está en equilibrio entre dos fuerzas, la gravitacional y la presión térmica: Si las velocidades de la energía cinética y la velocidad de escape se igualan, estamos en equilibrio. En el momento que …
Read More »Solsticio de Cáncer en Junio
El Solsticio en el Hemisferio Norte es una conmemoración milenaria celebrada por todas las culturas ancestrales de la historia. La fecha señala la entrada del invierno, un momento de mínima luz solar, el día más corto del año. Documentado en Yáñez Vega (2002), Gadea Saguier (2007) y Goldstein (2007) podemos …
Read More »Formación de una Estrella
Nube de gas en equilibrio hidrostático. Esta nube está en equilibrio entre dos fuerzas, la gravitacional y la presión térmica: Si las velocidades de la energía cinética y la velocidad de escape se igualan, estamos en equilibrio. En el momento que una fluctuación o perturbación –posiblemente producida por la explosión …
Read More »
Solo para Entendidos