Cómo una nueva aproximación tipo “language model” está cambiando el modelado, la predicción y la simulación de series temporales financieras.

Introducción: Por qué los Modelos Fundacionales Importan en Finanzas
Los Modelos Fundacionales —redes neuronales masivas preentrenadas en datasets extensos y variados— han revolucionado el procesamiento de lenguaje natural y la visión por computadora. Ejemplos como GPT-4, CLIP o SAM muestran el potencial de arquitecturas genéricas, que luego se adaptan o ajustan a múltiples tareas específicas.
Sin embargo, las series temporales, y especialmente los datos de mercados financieros, han sido un terreno mucho más difícil para este paradigma. El progreso en los Time Series Foundation Models (TSFMs) se ha centrado mayormente en tareas genéricas de predicción, sin atender a las particularidades, la no estacionaridad y el ruido extremo de los datos financieros reales. Lo más preocupante: los modelos generalistas, aun preentrenados en miles de millones de datos, suelen rendir peor que arquitecturas hechas a medida cuando se enfrentan a datos tipo “candlestick” (velas, K-line).
Kronos, presentado por Yu Shi y colegas de la Universidad de Tsinghua, responde directamente a este problema. Es tanto el primer modelo fundacional a gran escala entrenado sólo en datos financieros, como una profunda reimaginación de cómo representar el “lenguaje” de la microestructura de mercado para el machine learning moderno.
¿Por Qué las Series Financieras Son tan Difíciles para la IA Genérica?
Las series temporales ya son un desafío. Pero las series financieras —especialmente a alta frecuencia— suman varias complejidades únicas:
- Baja señal respecto al ruido: El mercado es inherentemente ruidoso; los movimientos muchas veces están dominados por efectos microestructurales y shocks aleatorios.
- No estacionaridad: Las propiedades estadísticas cambian con el tiempo y entre activos.
- Dependencias complejas: Las variables OHLCVA (Open, High, Low, Close, Volume, Amount) interactúan de forma no lineal.
- Colas pesadas y eventos extremos: Los saltos grandes y la volatilidad agrupada son mucho más comunes que en otros contextos.
- Artefactos de datos: Faltantes, periodos ilíquidos y errores de feed pueden contaminar el entrenamiento.
Los TSFM genéricos, entrenados en dominios mixtos (clima, salud, sensores…), rara vez encuentran estos problemas, y menos del 1 % de sus datos de entrenamiento son financieros. El resultado: poca capacidad de transferencia a las necesidades reales de finanzas cuantitativas.
Kronos: Un Modelo Hecho Sólo para Finanzas

1. Un Preentrenamiento Masivo y Específico
Kronos se preentrenó con más de 12 mil millones de registros K-line provenientes de 45 bolsas globales, abarcando 7 granularidades temporales (desde minutos hasta semanas) y distintos activos (acciones, futuros, cripto, forex). El 100 % de los datos son financieros: no hay “contaminación” de otras áreas.
- Limpieza de datos: El equipo aplicó filtros rigurosos —corte por saltos de precio (dividendos, splits), remoción de periodos ilíquidos/estancados, imputaciones diferenciadas (ej. ceros para volumen, segmentación para faltantes de precio).
- Normalización temporal: Inputs z-scoreados y truncados; embeddings explícitos para hora, día, mes, etc.
2. Tokenización Jerárquica para Datos K-line
En vez de trabajar con datos continuos, Kronos convierte cada barra multivariada en un token discreto jerárquico usando un autoencoder Transformer y Binary Spherical Quantization (BSQ).
- Tokens coarse-to-fine: Cada token se divide en un subtoken grueso (coarse) y uno fino (fine), optimizados por una función de pérdida jerárquica. El primero codifica el estado general del mercado, el segundo agrega detalle.
- ¿Por qué tokens? Discretizar:
- Aumenta la eficiencia de muestra (cada token resume muchos estados similares).
- Suprime ruido y outliers (el error de cuantización está acotado).
- Permite que Transformers (diseñados para lenguaje) trabajen sobre finanzas como un “idioma” de movimientos de mercado.
- Tamaño de vocabulario: El codebook se factoriza para mantenerlo computacionalmente manejable, e.g., un token de 20 bits dividido en dos de 10 bits.
3. Modelado Autoregresivo Jerárquico
La secuencia de tokens es modelada por un Transformer autoregresivo (como GPT, pero para series financieras), pero con factoración explícita vía regla de la cadena:
- Primero predice el subtoken grueso (estado general).
- Luego el subtoken fino, condicionado tanto en el historial como en el coarse recién predicho.
- Generación probabilística: Permite tanto predicciones puntuales como trayectorias completas (esencial para simulación y evaluación de riesgo).
4. Marco Unificado: Predicción, Simulación y Datos Sintéticos
Kronos puede usarse para:
- Forecasting de precios (un paso o múltiples).
- Predicción de retornos y volatilidad.
- Generación de secuencias sintéticas.
- Simulación/Backtesting de inversiones (señales de ranking, construcción de portafolios).
- Generación probabilística de escenarios (Monte Carlo en inferencia).
Innovaciones Técnicas: Por Qué Kronos Funciona
Tokenización: Mucho Más que un Truco
La clave: modelar estados discretos en vez de valores continuos tiene varias ventajas en finanzas:
- Supresión de ruido: Mapear valores ruidosos a un vocabulario finito limita la influencia de outliers.
- Mejor generalización: El Transformer aprende un set más compacto (pero expresivo) de patrones de mercado, evitando sobreajuste al micro-ruido.
- Decodificación coarse-to-fine: El diseño jerárquico permite capturar patrones comunes eficientemente, y también eventos raros (ej. spikes) mediante tokens de baja frecuencia.
Datos Masivos, Limpios y Dominio-Específicos
A diferencia de los TSFM genéricos, Kronos ve toda la diversidad de regímenes, liquidez y clases de activos reales. El pipeline de limpieza asegura que aprende de patrones genuinos, no de artefactos o glitches.
Forecasting Probabilístico Autoregresivo
Al entrenar el modelo para predecir tokens secuencialmente, Kronos puede generar múltiples trayectorias plausibles del futuro, no solo estimaciones puntuales. Esto es vital para gestión de riesgo, stress testing y backtesting realista.
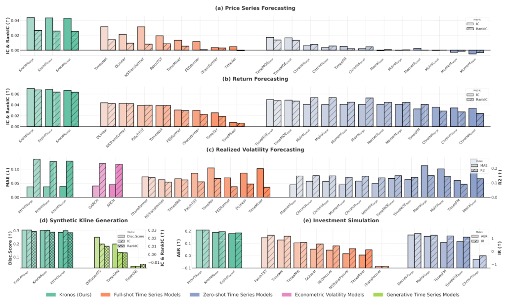
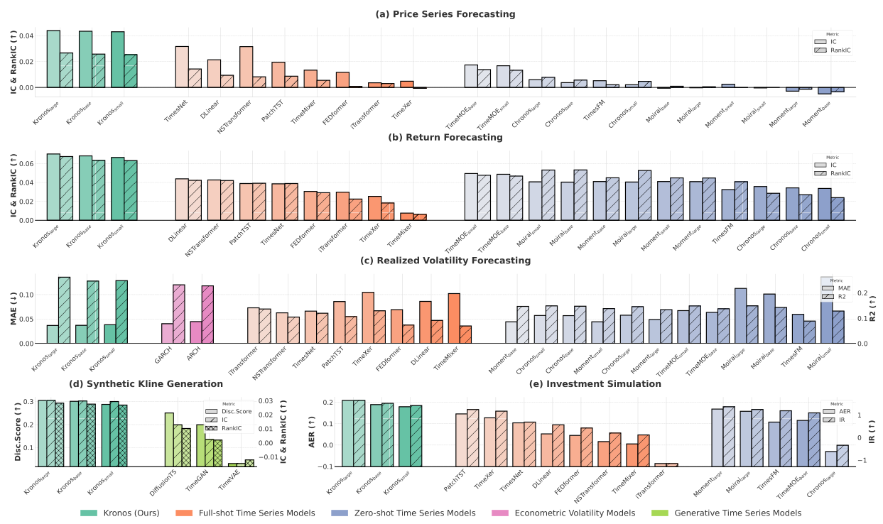
Resultados: Nuevo Estado del Arte

1. Predicción
Kronos supera a todos los TSFM generalistas y baselines clásicos (iTransformer, PatchTST, DLinear, GARCH) en todas las tareas clave:
- +93% de mejora en RankIC vs. el mejor TSFM en forecasting de precios.
- +87% sobre el mejor modelo no preentrenado.
- 9% menor MAE en predicción de volatilidad frente a modelos econométricos.
2. Generación de Datos Sintéticos
En pruebas de t-SNE/KDE y discriminative score, las secuencias sintéticas de Kronos son mucho más similares a datos reales que las generadas por GAN, VAE o modelos de difusión. Esto implica que Kronos no solo predice bien, sino que simula mercados creíbles—clave para research, pruebas y análisis de escenarios.
3. Simulación de Inversión
En backtests (portafolios long-only, top-k igual ponderado), logra los mayores retornos anuales excedentes e información ratio usando señales de Kronos, frente a cualquier baseline.
4. Ablaciones y Sensibilidad
El paper demuestra que:
- La tokenización jerárquica discreta supera al modelado continuo (MSE, NLL).
- La predicción secuencial coarse-to-fine es mejor que la paralela o sin jerarquía.
- Más vocabulario = mejor reconstrucción y predicción (dentro de los límites computacionales).
5. Usabilidad
El modelo preentrenado es open-source, con código y pesos disponibles en github.com/shiyu-coder/Kronos.
Impacto y Limitaciones
¿Por Qué Kronos Importa?
- Modelos fundacionales específicos para finanzas habilitan nuevos flujos de trabajo: Arquitecturas unificadas y plug-and-play aceleran el research y reducen deuda técnica en trading cuantitativo.
- Mejores datos sintéticos benefician a la industria y la academia: Simulación realista y segura de eventos extremos.
- Un solo modelo para muchas tareas: Desde forecasting hasta simulación, Kronos reduce la necesidad de sistemas ad-hoc o pipelines fragmentados.
Limitaciones y Preguntas Abiertas
- Requiere recursos: Aunque manejable, puede necesitar distilación para producción.
- Transferencia a datos no K-line: Kronos está optimizado para OHLCVA; order book o cripto-derivados requerirían adaptaciones.
- Adaptación en tiempo real: Está preentrenado hasta una fecha; manejar cambios de régimen en vivo es un desafío abierto.
- Interpretabilidad: Como todo deep learning, la transparencia es limitada frente a modelos clásicos.
Conclusión
Kronos es un hito en el camino hacia modelos fundacionales para finanzas. Su tokenización jerárquica específica, su entrenamiento masivo y limpio, y su performance superadora marcan un nuevo estándar para el modelado cuantitativo.
Ya seas científico de datos, quant o investigador en IA, Kronos ofrece una base —literal y figurada— para construir la próxima generación de inteligencia financiera.
Solo para Entendidos